SiC MOSFET 的动态表征和测量方法
Article
碳化硅 (SiC) 技术为电源、电动汽车和在家充电、大功率工业设备、太阳能应用和数据中心等多个行业显著提高了功率传输和管理性能。
由于SiC更高的额定电压、更低的系统运行温度、具备更高的电流处理能力以及更出色的恢复特性,能为多种应用将效率及功率密度最大化,同时尽可能降低成本;然而,若想要充分利用 SiC 技术的优势,将此类元件和性能进行表征化就非常重要。
本文将详细阐述 KIT-CRD-CIL12N-FMA 评估套件,特别是动态特性,以及为优化 SiC 功率模块开关性能所需的工具。
开展动态特性测试
为了测量MOSFET 动态性能的四个指标(包括开关损耗、时间、过冲、开关速度),必须使设备工作,然后使用钳位电感负载 (CIL) 测试系统进行高精度测量。
将 MOSFET 动态性能进行表征化的第一步是使用双脉冲测试 (DPT) 测量器件的电压和电流。通过测量这两种波形,可以提取并分析所有的信息,包括损耗、时间、过冲以及开关速度/能量。图 2 是半桥拓扑的典型设置方式,利用 WolfPACK 功率模块以及在测试时获取的一些关键波形及测量数据。根据波形示意图可以看出,当低边开关开通时,将会呈现典型的开通波形,显示峰值电流/过冲,以及 di/dt 和 dV/dt 以及 Vds。电压和电流的乘积为瞬时功率,结合来看,可以揭示从关断状态变化到开通状态的开关能量。

在表征过程中,一种不太常见的测试是二极管测试,其使用低边开关的负载电感进行。这有助于在开关过程中将体二极管的性能进行表征化,同时展现反向恢复性能。
系统PCB 以及栅极驱动器布局的最佳实践
另一个需要测量的重要方面则是加入栅极电阻后 MOSFET 性能的变化,其会改变电压和电流(dv/dt 以及 di/dt)的变换速率,并增加开关损耗。对于多个 MOSFET 并联的情况,建议每个 MOSFET 栅极配置1 Ω 到 10 Ω的栅极电阻(Rg),这有助于减少开关过程中的振荡,并避免 MOSFET 超出其最大额定电压。
SiC 器件的实际布局对过冲有显著影响,这是由于寄生电感 结合di/dt 会产生感应电压(会叠加在母线电压上)。由于 SiC 能够实现更迅速的开关速率,其过冲要比硅 (Si) 高得多。所以,务必要遵循最佳布局实践,尽可能降低任何额外的电感。例如,直流汇流排应包含层压铜平面,而每个模块和电容器之间的电感应相等。同时还应具有较大的表面积,帮助散热,以及具备较厚的走线,尽可能减少自身电感。同时也应使平面重叠,以加强磁通相抵效果,如图 3 所示。
在高压线与汇流排连接的 PCB 上的额外层有利于提高去耦和磁通相抵效果,而直流母线电容和压接引脚之间具备相等的电感/迹线长度同样也很重要。WolfPACK 模块的输出部分具备较宽的平面,可提供最大的电流载流量,这也是十分重要的。此外,不得将模块的输入和输出部分重叠,这会增加电容并使损耗变大。

栅极驱动器主要有两种配置方式。第一种是单极性,在“关断”状态下,功率 MOSFET 在不存在负偏压的情况下保持关断。第二种是双极性,其中存在两个电源,一个电源具有负电压,在“关断”状态下保持设备关闭,并能提高整体可靠性。图 4 示出了单极和双极栅极驱动器在“开”状态下的对比图。

对于单极性配置,建议为开尔文源极平面(MOSFET 的信号源极)配置成较大、较厚并位于所有元件的正下方,且包含多个连接至驱动器IC 旁路电容和功率端子的通孔(最大化电流载流量)。同时,为每一 MOSFET 设置不同的栅极电阻能够带来可调整性和不同的开/关速度等优势。对于双极驱动器来说,可能需要额外的一套电容器来提供额外的负电源。将高频回路最小化是获得最小电感、最大峰值电流、最低开关损耗以及最佳性能的关键。图 5 示出了单极性和双极性配置的最佳布局。

如何测量寄生电感并将其表征化
由于电感极低(通常低于 10 nH),因此测量 SiC MOSFET 模块的寄生电感可能非常困难。Keysight E4990A 阻抗分析仪是一款出色的工具,能够测量一系列频率(10 kHz 到 120 MHz)下的电感。为了与模块设备连接,需要 Keysight 特定探针中的一支,或者定制化、牢固的 PCB 设备(不含焊线/线缆/夹具),以确保最高水平的准确度。
将 Wolfspeed的 62 毫米 WolfPACK 模块以及三款使用相同设置的竞品进行了寄生电感比较,发现 Wolfspeed CAB530M12BM3 功率模块的寄生电感(为 11.2 nH)显著低于竞争对手(在 15.8–19.2 nH 之间)。GM3 WolfPACK 200-A 模块的寄生电感有些难以测量,但当移除所有设备 (MOSFET),留下焊线和引脚(见图 6)时,便可以准确计算整体的杂散电感。GM3 在 10 MHz 运行条件下的原始测量值(含 MOSFET)为 15.8 nH,而补偿电感(仅基板)在 10 MHz 运行条件下的测量值为 8.7 nH。用原始测量值减去补偿测量值会得出功率模块的整体杂散电感,为 7.1 nH。这表明,对设备和探针进行补偿非常重要,因为在使用阻抗分析仪时,它们会显著增加电感数值。

在优化 SiC 系统时,必须考虑整体系统电感,不能仅考虑功率模块或电容。XM3 便是一个良好的示例。其具有 7 nH 的低电感,同时也能为母线与汇流排连接设计实现更低的电感 (6 nH)。那么整体杂散电感为 13 nH,对系统整体来说颇有益处,能够显著减少开关过程中的过冲。
测量器件电流和电压
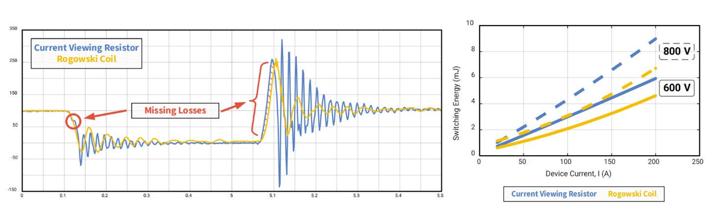
要想测量器件电流并得到准确的结果,这很大程度上取决于探针的品质。当处于较高频率时,某些探针性能更为出色,与质量欠佳的探针相比,其捕捉的损耗和能测量的不稳定特性更准确。例如,在比较 T&M Research SSDN-005 探针和 Rogowski 线圈时 (PEM CWTUM/3/B),可以观察到电阻器探针在 30 MHz 开关频率(图 7)以上探测到的振铃更为明显。图片显示 Rogowski 线圈感应到的开关能量有误(低了 20%)。在为 MOSFET 的开关性能进行表征化,并了解哪个频率范围会引入比预期更多的能量损耗时,这非常重要。

如图 8 所示,在测量 VDS 时,接地非常重要。可以使用两种探针进行测量:单端和差分。当使用单端探针时,要参考您的系统,避免存在多个接地点。如果直接测量 VDS,而不考虑 CVR,会导致结果异常,这是因为示波器有多个参考点。如果 复位CVR ,其参考点与 VDS 测量的参考点一致(提供反相信号,可以通过示波器调整),那么结果便会得到改进。
差分探针是另一种出色的选项。进行低边测量时,其表现良好,进行高边测量时,其准确度欠佳,共模抑制比较高。Tektronix TPP0850 是良好的单端探针,而 Tektronix THDP0200 是一款出色的差分探针,额定 200 MHz,1,500 V。

对于栅极-源极电压 (VGS),在比较光隔离探针和标准差分探针后,差分探针能探测到的振铃更多(见图 9)。当设计人员认为测量到的振铃确实存在于系统之中,这能够警告设计人员,这实际上仅是差分探针的一种测量固有数值。错误信息是由于差分探针的低共模瞬变抗扰度 (CMTI) 与较高的 dV/dt 相遇而造成的。推荐 Tektronix IsoVu TIVH05 作为光隔离探针的理想之选。

后期处理和分析
在对多种元器件和配置进行测量之后,在分析和比较结果时,还需要考虑很多因素。建议对不同配置的开关动态特性进行定性评估,以找到适合于该应用的最佳配置。从测试方面来看,可能会多次重复这种流程,但当重叠波形时,便能够得出最佳配置。
在专门研究栅极驱动拓扑时,图 10 示出了MOSFET开通过程中从 1-Ω 到 10-Ω 的外部栅极电阻、低/高边栅极电压、电流以及双极性/单极性和米勒/非米勒设计的多个 测试示例。从图表中我们可以看出,针对于该示例,较低的栅极电阻能够带来更快的开关频率,但其较为激进,可能会造成性能不稳定(至少在没有米勒钳位的情况下)。随着栅极电阻增加,开关频率变慢,米勒钳位的优势更为明显。

该开通过程包含非常激进的开关 表现,包含 150˚C 的虚拟结温以及 100-A IDS,使得设计人员需要选择较慢的开关速度和较高的栅极电阻来确保设计的稳定性。在关断过程中,数据则明显不同,在较低的栅极电阻下其表现不像开通过程中大幅变化如果可以接受采用1- Ω来进行关断MOSFET,那么可以通过相应地调整两个栅极电阻,该设计的开关速度(最小化关断延时)和可靠性(更低的过冲和振铃)将得以优化。使用相同的一套图表还可以分析体二极管的反向恢复性能。
当进一步结合电压和电流波形时,设计人员可以直观地看到开关能量的表现,并比较所有情况下的开通/关断能量(见图 11)。在观察这些图表之后得出的一个关键结论是,采用带米勒钳位的双极性栅极驱动器 (15 V/–4 V) 能够带来最佳的稳定性(不存在自开通、减少直通风险)和开关损耗。

在进行测试和后期处理时,务必查看 MOSFET 在整个结温范围内的表现。在室温下 (25˚C),较低的栅极电阻可能能够的满足应用需求,同时最大化开关速度。然而,当温度较高时,开关特性和反向恢复特性可能会发生剧烈的变化,导致损耗和不稳定性增加,使得 MOSFET 处于不安全的运行环境中。可采用加热板(或类似方法)进行高温测试,以模拟在正常运行条件下的实际温度。
结论
考虑多种拓扑以及开关条件是非常重要的,还需要采用合适的设备才能准确地对设计进行建模。通过一系列测试方法得出四个关键指标(开关损耗、时间、过冲以及开关速度)后,便能够选择理想的配置方式,并进行设计优化,从而充分利用 SiC 的出色特性。